排序
B-样条曲线——动机 Motivation
B-样条曲线——动机 Motivation 上一页 回目录 下一页 定义 考虑设计一个花瓶的剖面图。下图左边是11次(degree)的贝塞尔曲线;但是它很难弯曲瓶颈到线段 P4P5。...
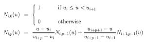
B-样条基函数:定义 (B-spline Basis Functions: Definition)
B-样条基函数:定义 B-spline Basis Functions: Definition 上一页动机 回目录 下一页重要性质 贝塞尔基函数用作权重。B-样条基函数也一样;但更复杂。但是它...











