本算例下载地址:OpenFOAM的二维低速层流管道流动算例(泊肃叶流动)-case文件-C++文档类资源-CSDN下载
![图片[1]-OpenFOAM的泊肃叶流动算例-卡核](http://www.caxkernel.com/wp-content/uploads/2022/09/20220903015628-6312b44c0c534.png)
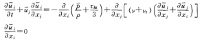
泊肃叶流动是流体力学里面一个基本算例,排在库埃特流动后面。其应用很广(管道流动),有理论解,经常被用来验证算例、测试算法等。本文介绍如何用OpenFOAM复现泊肃叶流动。解析解的形式:
![图片[2]-OpenFOAM的泊肃叶流动算例-卡核](http://www.caxkernel.com/wp-content/uploads/2022/09/20220903015628-6312b44c2c835.png)
从公式可以看出,当y=0(管道中间)时,相对速度取最大值1.5。
1. 网格建立blockMeshDict
计算域是一个宽度为H的长方形,长度任意:
![图片[3]-OpenFOAM的泊肃叶流动算例-卡核](http://www.caxkernel.com/wp-content/uploads/2022/09/20220903015628-6312b44c3d926.png)
用blockMesh命令生成网格。
2. 设置算例参数
这个算例比较简单。在constant/transportProperties那设置laminar,速度边界条件是速度进口,零梯度出口,压强边界条件是零梯度入口,零压强出口。在fvScheme那将ddt格式设置为steadystate。在fvSolution那设置好Simple的收敛值。
3. 运行
输入simpleFoam运行算例,直到收敛即可。
4. 后处理
新建一个文件夹Ugraph,如下所示:
/*--------------------------------*- C++ -*----------------------------------*\\
========= |
\\\\ / F ield | OpenFOAM: The Open Source CFD Toolbox
\\\\ / O peration |
\\\\ / A nd | Website: www.openfoam.com
\\\\/ M anipulation |
-------------------------------------------------------------------------------
Description
Writes graph data for specified fields along a line, specified by start
and end points.
\\*---------------------------------------------------------------------------*/
start (0.02 -0.0025 0);
end (0.02 0.0025 0);
fields (U);
// Sampling and I/O settings
interpolationScheme cellPoint;
setFormat raw;
setConfig
{
type uniform; // midPoint, midPointAndFace
axis distance; // x, y, z, xyz
nPoints 40;
}
// Override settings here, e.g.
setConfig
{
axis y;
}
// Must be last entry
#includeEtc "caseDicts/postProcessing/graphs/graph.cfg"
// ************************************************************************* //
然后终端输入postProcess -func Ugraph,帮助沿y轴采样一条线上的速度,然后用tecplot查看:
![图片[4]-OpenFOAM的泊肃叶流动算例-卡核](http://www.caxkernel.com/wp-content/uploads/2022/09/20220903015628-6312b44c68ab6.png)
如图所示,y=0时速度刚好是1.5,算例复现成功。
© 版权声明
文章版权归作者所有,未经允许请勿转载。
THE END












![[转]我国CAD软件产业亟待研究现状采取对策-卡核](https://www.caxkernel.com/wp-content/uploads/2024/07/frc-f080b20a9340c1a89c731029cb163f6a-212x300.png)






